Table-2 The Status of Non-Performing Loans (NPLs) of All Banks based on the Financial Reconstruction Law
(as of end-March 2004)

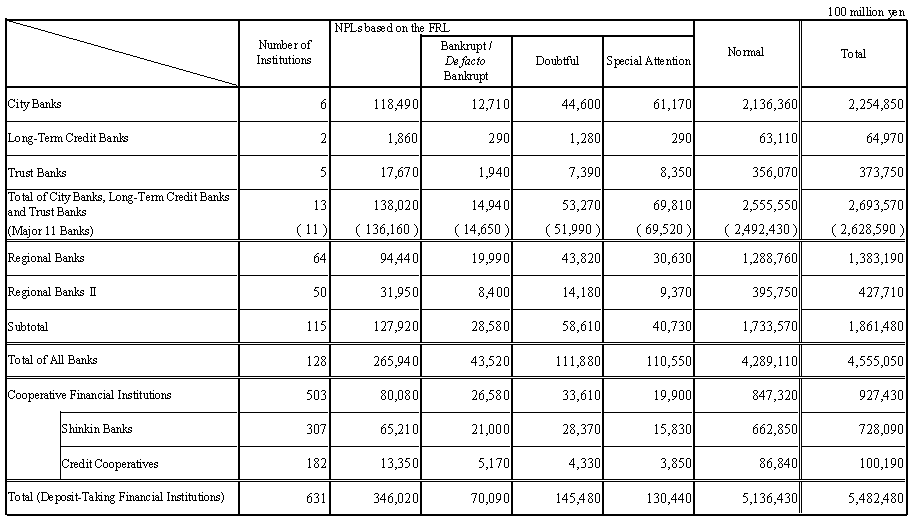
Table-2 The Status of Non-Performing Loans (NPLs) of All Banks based on the Financial Reconstruction Law (as of end-March 2004)
(Note:)
1. Figures are rounded to the nearest billion. 
2. "Major 11 banks" exclude Shinsei Bank and Aozora Bank from City Banks, Long-term Credit Banks and Trust Banks.  
3. "Subtotal" of " Regional Banks" and "Regional Banks II" includes the figure of Saitama Risona Bank.
4. Figures in the above table about the Mizuho Group, the UFJ Bank, the NISHI-NIPPON Bank and the Fukuoka City Bank include those which are transferred to subsidiary companies for corporate revitalization.
5. "Cooperative Financial Institutions" exclude Credit Federation of Agricultural Cooperatives etc.

Table-1 The Status of Non-Performing Loans held by all banks  (as of end-March 2004)
Table-2 The Status of Non-Performing Loans (NPLs) of All Banks based on the Financial Reconstruction Law
Table-3 Transition of Non-Performing Loans (NPLs) based on the Financial Reconstruction Law
Table-4 Total Losses on Disposal of Non-Performing Loans of All Banks
(Reference) The Status of Risk Management Loans of All Banks (as of end-March 2004)

The Status of Non Performing Loans as of end-March 2004